The Equation Editor can be found in the exam editor, after you have created your test and begin adding questions. To find it:
- Click add question on your exam editor.
- Locate the bar with the different formatting options such as "Bold", "Italics", and so on.
- Find the last button on that bar that looks like a "∑".
- Click on this button to pull up a box that will allow you to write your equation in.
The window currently does not have any help icons, so here is a breakdown of how the editor works:
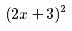
- To make equations, you will need to use the same format that you would enter in a common graphing calculator. For example: typing (2x+3)^2 will appear as
once you have inserted it.
- To make special characters - like Greek symbols - then you need to know the name of the symbol and its correct spelling. Put a backslash in front of the name (the slash above the enter button) and the symbol will be inserted. For example, typing \varphi will insert the symbol
.
At this point, you will have successfully put in an equation into your question form. Feel free to also add text to accompany this equation and help explain it. If you are looking to put a similar equation in the answers as well, the steps are very similar.
- Ensure you have the correct formatting you desire for your question (Multiple answers, multiple choice, etc.).
- Below the white box where the question is located, you will see the table for your answers. Locate the tab there that says "Choices."
- When you click on one of the choices, for example the first answer or second answer, you will see another formatting box appear, with the same buttons as the question box.
- Click on the ∑.
- Enter your desired equation with the rules listed above.
You should now be able to put equations in both your question field AND answer field.
Support and Troubleshooting
Math equations have shown some instances of expanding in size until they fill the entire computer screen. This is typically only seen in student view when taking the exam, and often the problem only happens in Firefox. There is not currently a permanent fix or solution to this problem, but we can recommend a few work-arounds:
- For students taking the exam, we recommend using a different browser to view the exam and make sure that the equation doesn't expand.
- For instructors we recommend using the LaTeX tool to write equations, and then taking a screenshot of the math that you have written. If you do this and insert the screenshot as an image then it will not expand.
Problems Deleting Equation
There may be some instances where you try and delete an equation that instead just moves as if you were pressing the space bar. The solution is to highlight the equation and then press the delete key, rather than just having the cursor next to the equation.
For further questions, please contact OIT at 801-422-4000.
When confronted with the "[Math Processing Error]" go ahead and clear the browser cache and make sure the browser is up to date.
Equation Shows as a Black Space or Shows the Wrong Equation
On the instructor side the equations many show up as a black space, it may show up as the quadratic equation (the default equation when setting up Learning Suite), or may show up as {ck_temp}.
DO NOT SAVE the equation while it is in the bad state.
- Click 'Edit' on each question (it will most likely display the issues there).
- Click 'Source'.
- This will show the HTML Tag where you can see the original equation (which is right before the incorrect equation, if the incorrect equation is the quadratic equation it will look like this: (x = {-b \pm \sqrt{b^2-4ac} \over 2a}\)).
- Copy the original equation.
- Click on 'Source' again to exit.
- Click on the bad equation and paste in the correct equation (removing everything else).
- Click 'Save'.
Note: Most of the time the two symbols \) together seems to be causing the most issues. Do not copy those symbols into the equation.